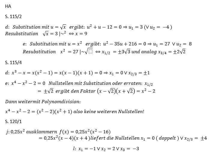
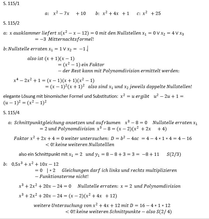
10-7 Lösung